MASAK raporunda çarpıcı detay! İmamoğlu'nun oğlunun şirketinden yurt dışına binlerce euro gönderilmiş

İBB'ye ve görevinden uzaklaştırılan tutuklu başkanı Ekrem İmamoğlu'na yönelik yürütülen yolsuzluk soruşturması kapsamında hazırlanan MASAK raporunun detayları ortaya çıktı. Rapora göre İmamoğlu'nun oğlu Mehmet Selim İmamoğlu'nun Hırvatistan'daki yat şirketine 637 bin 106 euro tutarında para aktardığı öğrenildi.
İstanbul Büyükşehir Belediyesi'ne (İBB) ve görevinden uzaklaştırılan tutuklu başkanı Ekrem İmamoğlu'na yönelik yolsuzluk iddiasına ilişkin yürütülen soruşturma sürüyor.
181 SAYFALIK RAPORUN DETAYLARI ORTAYA ÇIKTI
Soruşturma kapsamında Mali Suçları Araştırma Kurulu (MASAK) tarafından 4 Haziran tarihinde hazırlanan 181 sayfalık 'Aklama Suçuna İlişkin Değerlendirme Raporu'nun detayları ortaya çıkmaya devam ediyor.
OĞLUNUN ŞİRKETİNDEN HIRVATLARA PARA GÖNDERİLMİŞ
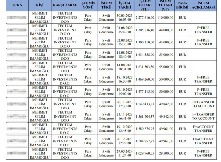
Rapora göre, İmamoğlu'nun oğlu Mehmet Selim İmamoğlu'nun ‘Tectum Investment D.O.O.' adlı Hırvatistan'daki bir şirkete 2023 ve 2024 yıllarında toplam 637 bin 106 Euro tutarında gönderme işlemi gerçekleştirdiği, Hırvatistan'da yerleşik olan bu şirketin Mehmet Selim İmamoğlu'na ait olduğu aktarıldı.

PARA HAREKETLERİ ŞÜPHELİ BULUNDU
Raporda, Mehmet Selim İmamoğlu'nun gönderme işlemlerine konu tutarların kaynağına yönelik yapılan araştırmalarda, Mehmet Selim İmamoğlu'nun yurtdışında yerleşik ve sahibi olduğu şirket hesaplarına para aktarması eyleminin şüpheli olarak değerlendirildiği kaydedildi.

Ayrıca, Mehmet Selim İmamoğlu'nun ‘Tectum Investment D.O.O.' adlı şirketine gönderdiği para gönderme işlemleri ile annesi Dilek Kaya İmamoğlu ve Hasan İmamoğlu'ndan edindiği tutarlar ve kendisinin gerçekleştirdiği alma işlemlerinin tarih aralığının örtüştüğü aktarıldı. Hazırlanan raporda ayrıca, Mehmet Selim İmamoğlu tarafından yurt dışına gönderilen 637 bin 106 Euro tutarında paranın soruşturma kapsamında minimum suç geliri olarak değerlendirildiği de belirtildi.







Bunlar aile değil sülale boyu hırsız çıktı hâlâ bu hırsızın arkasından koşanlar var