Otomotivde yarı yıl karnesi: Kazanan ve kaybeden markalar…
Otomotiv Distribütörleri ve Mobilite Derneği (ODMD) tarafından açıklanan verilerle otomotiv pazarının yılın ilk yarı sonuçları belli oldu. Rapora göre marka satışlarını arttıranların yanı sıra düşüş yaşayanlarda ön plana çıktı. Toplam pazar sıralamasından Renault ve Fiat ilk sırada yer alırken Volkswagen uzun aradan sonra üçüncülüğe yükseldi. İşte Türkiye pazarındaki tüm markaların tek tek satış adetleri...
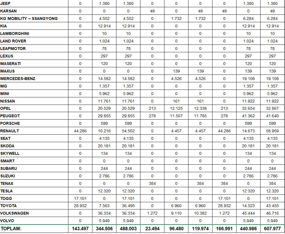
Otomotiv pazarının 2025 yılı ilk yarı karnesi belli oldu. Toplam pazarda (otomobil+ticari) 58.959 adetle liderliği Renault önde götürürken Fiat (otomobil+ticari) 52.180 adetle ikinci oldu. Volkswagen satışlarını arttırarak Ford’un 3’ncülük koltuğuna otururken, yerli ve milli otomobil markamız Togg, yılın ilk yarısında toplam satışlarda tek modelle (T10X) rağmen 13. sırada yer aldı.
HAZİRAN AYINDA YILDIZI PARLAYANLAR
Haziran ayının en ilginç çıkışı Tesla’dan geldi. Türkiye’ye özel vergi avantajı ile sunduğu Model Y ile toplam pazarın yüzde 28.2’sini tek başına yakaladı. Bir ilginç çıkış ise 1.099.000 TL’lik fiyat etiketi ile ülkemizde satışa sunulan Citroen e-C3’ten geldi. B-HB sınıfında yer alan elektrikli model, elektrikli sınıfında en çok satan üçüncü model oldu.
2023 ve 2024 yıllarında SUV liderliğini elinde bulunduran Chery ise yılın ilk yarısında toplam satışlarda 15. sırada yer aldı. Ford listede üçüncülüğü Alman rakibi VW’ye kaptırırken, bir zamanlar ülkemizde en çok satan markalar arasına adını yazdıran Dacia ise yılın ilk yarısında 20. Sıraya kadar geriledi.
ODMD TARAFINDAN YAYINLANAN HAZİRAN AYI SATIŞ VERİLERİ
