SGK'dan ilaç iskonto oranlarına ilişkin yeni karar! İşte bedeli ödenecek ilaçların listesi...
Kaynak: Türkiye Gazetesi
- Güncelleme:

Sosyal Güvenlik Kurumu (SGK) bedeli ödenecek ilaçların iskonto oranlarında değişiklik yaptı. Bugünkü Resmi Gazete'de yayımlanan kararla bedeli ödenecek ilaçlar için yeni liste yayımlandı.
Sosyal Güvenlik Kurumu tarafından 'Sağlık Hizmetleri Fiyatlandırma Komisyonu Kararı' bugünü Resmi Gazete'de Cumhurbaşkanı Erdoğan'ın imzasıyla yayımlandı. Karara göre bedeli ödenecek ilaçların iskonto oranları değişti. Liste Resmi Gazete'de yayımlandı.
SGK'DAN SAĞLIK HİZMETLERİ FİYATLANDIRMA KARARI
Resmi Gazete'de yayımlanan karara göre Sağlık Hizmetleri Fiyatlandırma Komisyonu, 30.01.2024 tarihinde toplantısını gerçekleştirdi.

Toplantıda, gut tedavisinde kullanılan 'Febuksostat' etkin maddeli, Adenuric 120 mg 28 Film kaplı tablet ve Adenuric 80 mg 28 Film kaplı tablet isimli ilaçların iskonto oranları yeniden düzenlendi.
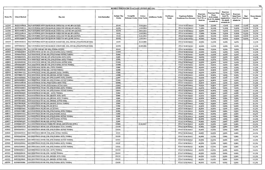
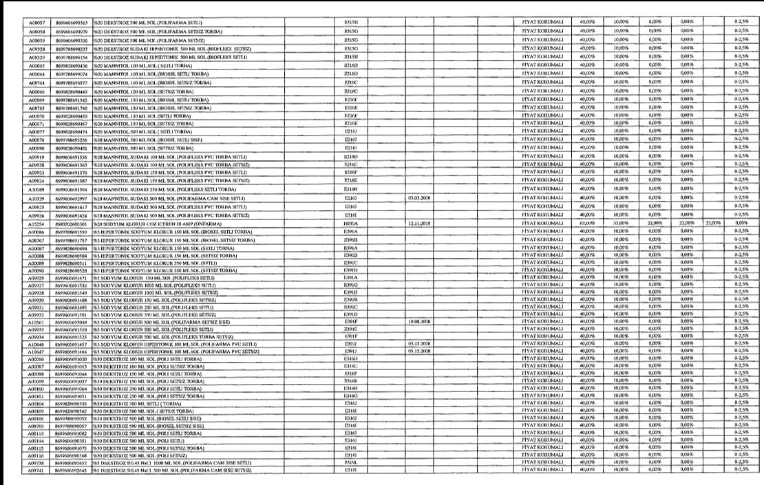
İşte bedeli ödenecek ilaçların listesi...


LİSTENİN DEVAMI İÇİN TIKLAYINIZ...
Kaynak: Türkiye GazetesiEditör: Baki Sancak







