Muayene ücretlerine yüzde 50 zam! Resmi Gazete'de yayımlandı
Bazı uzmanlık dallarının muayene ücretlerinde yüzde 50 zam geldi. Karar Resmi Gazete’nin bugünkü Mükerrer sayısında da yayımlandı. İşte yeni muayene ücretleri...
Sağlık Hizmetleri Fiyatlandırma Komisyonu kararı ile bazı uzmanlık dallarının muayene ücretlerinde yüzde 50 zam yapıldı.
Karar Resmi Gazete’nin Mükerrer sayısında yayınlanarak yürürlüğe girdi.
BEYİN VE SİNİR, ÇOCUK, ACİL...
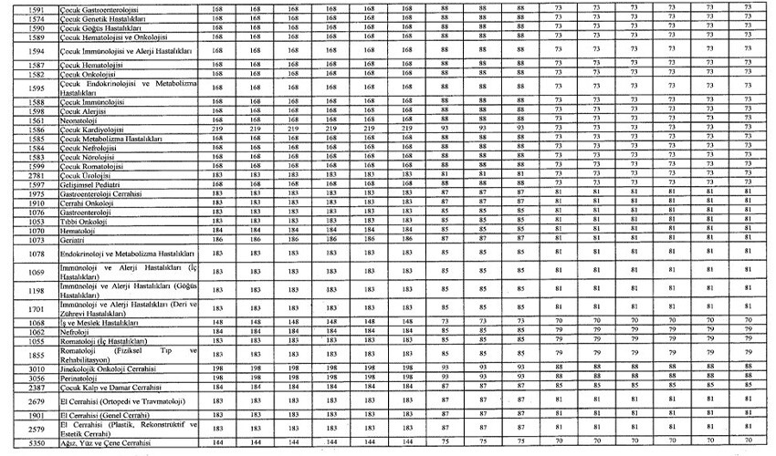
Bugünkü yayımlanan 32289 sayılı Resmi Gazete’nin mükerrerinde, 5510 sayılı Sosyal Sigortalar ve Genel Sağlık Sigortası Kanunu gereği oluşturulan Sağlık Hizmetleri Fiyatlandırma Komisyonu’nun bazı kararlar aldığı belirtildi.
Alınan karara göre, Acil Tıp, Beyin ve Sinir Cerrahisi, Çocuk Sağlığı ve Hastalıkları gibi bazı uzmanlık dallarının yer aldığı muayene ücretlerinde yüzde 50 zam yapılarak, yeniden düzenlenmesine karar verildi.
Yüzde 50 artış yapılan uzmanlık dalları ise “Ayaktan Başvurularda Ödeme Listesinde” belirtildi.
