Piyasalarda DeepSeek depremi devam ediyor: Nvidia'da 500 milyar dolarlık tarihi düşüş!
Çinli girişim DeepSeek'in yeni ücretsiz açık kaynaklı yapay zeka modeli R1, AI tarihini adeta yeniden yazıyor. Teknoloji şirketlerinin, özellikle grafik işlemci üreticisi Nvidia’nın, hisse senetlerinde 500 milyonun üzerinde düşüşe neden oldu. DeepSeek; Bitcoin, kripto piyasası ve teknoloji hisselerinde yaklaşık 1 trilyon zarara yol açtı. OpenAI, o1 modeli için milyon token başına 15-60 dolar ücret alırken, DeepSeek R1 yalnızca 0,55-2,19 dolar fiyat sunuyor.
DeepSeek, 2023 yılında 40 yaşındaki girişimci Liang Wenfeng tarafından kuruldu. Çin’in önde gelen yatırımcılarından biri olarak görülen Wenfeng, yapay zeka araştırmalarını finanse eden High-Flyer adlı hedge fonunun da sahibi. Şirketin merkezi, Çin’in doğusunda, Zhejiang eyaletinde yer alan Hangzhou şehrinde bulunuyor.
500 MİLYONUN ÜZERİNDE TARİHİ DÜŞÜŞ
Çinli girişim DeepSeek'in yeni ücretsiz açık kaynaklı yapay zeka modeli R1, şu anda AI tarihini adeta yeniden yazıyor.
- İlk olarak, bağımsız testlerde OpenAI’nin son modeli o1’i birçok alanda geride bıraktı.
- İkinci olarak, DeepSeek’in App Store’da hafta sonu en çok indirilen uygulama olmasını sağladı.
- Üçüncü olarak, teknoloji şirketlerinin, özellikle grafik işlemci üreticisi Nvidia’nın, hisse senetlerinde 500 milyonun üzerinde düşüşe neden oldu.
Hangzhou, Çin’in önde gelen teknoloji merkezlerinden biri olarak kabul ediliyor. Şehir, teknoloji devi Alibaba Group’un merkezine ev sahipliği yapmanın yanı sıra çok sayıda araştırma enstitüsü ve üniversiteye de sahip. Zhejiang Üniversitesi, Çin’in en iyi teknik üniversitelerinden biri olarak biliniyor.
Liang Wenfeng, bilgisayar bilimi ve yapay zeka alanında deneyime sahip bir isim. DeepSeek’i kurmadan önce Çin’deki önde gelen teknoloji şirketlerinde makine öğrenimi ve doğal dil işleme üzerine araştırmalar yapmıştı.
Ender verdiği röportajlardan birinde, DeepSeek’in kurucusu Wenfeng, rakibi OpenAI'ya şu uyarıyı yapmıştı: "Çığır açan teknolojiler karşısında, kapalı kaynaklı yapılar sadece geçici bir engel oluşturur. OpenAI’nın kapalı yaklaşımı bile başkalarının yetişmesini engelleyemez" Wenfeng’in bu sözlerinin boş olmadığını görmek mümkün.
DEEPSEEK'İN YAPAY ZEKA DEVRİMİ
2024 yılı sonlarında, DeepSeek yeni bir açık kaynaklı yapay zeka modeli olan V3’ü tanıttı. V3, kodlarla etkili bir şekilde çalışıyor ancak Çin ve tarihine dair soruları cevaplamada çekimser kalıyordu. Bir ay sonra, 20 Ocak’ta şirket, bu modelin yeni versiyonu olan R1’i tanıttı. Geliştiriciler, R1’in performans ve erişilebilirlik açısından OpenAI’nin "düşünceli" o1 modeliyle eşdeğer olduğunu iddia etti. R1, DeepSeek’in büyük temel modeli V3’e dayanıyor.
DeepSeek-R1, OpenAI’nin o1 modeli gibi pekiştirmeli öğrenme (RL) ile eğitildi. Ancak Çinli şirket, "denetimli ince ayar" yöntemi oluşturarak karmaşık akıl yürütme görevlerini çözmeyi ve o1’in performansına ulaşmayı başardıklarını ifade etti.
DeepSeek, R1’in avantajlarını göstermek için bu modeli kullanarak altı Llama ve Qwen modelini optimize etti. Bu süreç, modellerin performansını yeni bir seviyeye taşıdı.
Örneğin, optimize edilen Qwen-1.5B modeli, matematik testlerinde çok daha büyük modeller olan GPT-4o ve Claude 3.5 Sonnet’i geride bıraktı. Bu modeller, ana R1 modeli gibi açık kaynaklı olarak geliştirildi ve Massachusetts Teknoloji Enstitüsü (MIT) lisansı altında Hugging Face platformunda kullanıma sunuldu.
ABD'Lİ ŞİRKETLERİN YAPAY ZEKA SEKTÖRÜNDEKİ HAKİMİYETİ SORGULANIYOR
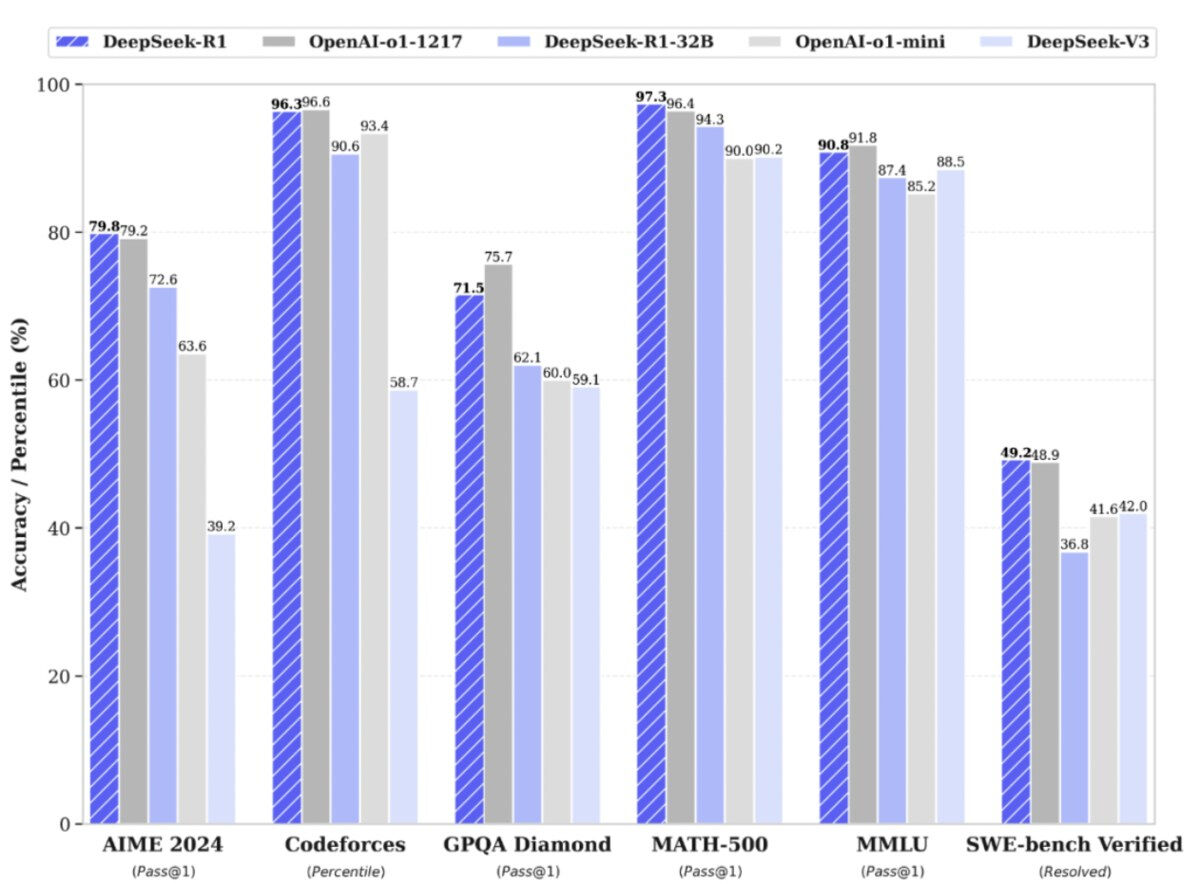
R1, AIME 2024 matematik testinde %79,8 ve MATH-500 testinde %97,3 puan alırken, Codeforces testinde 2.029 puan alarak katılımcı insan programcıların %96,3’ünü geçti. OpenAI’nin o1-1217 versiyonu ise aynı testlerde sırasıyla %79,2, %96,4 ve %96,6 puan almıştı. Genel bilgi testi MMLU’da ise R1, %90,8 ile o1’in %91,8’lik puanının gerisinde kaldı.
DeepSeek-R1’in etkinliği, ABD merkezli şirketlerin hâkimiyetindeki yapay zeka sektöründe Çinli girişim için büyük bir başarı olarak kabul ediliyor. Ayrıca, DeepSeek’in açık kaynak modeline dayalı olması ve eğitim materyallerine erişim sağlaması da önemli avantajlardan biri.
DeepSeek’in kullanıcılarına sunduğu bir diğer avantaj ise fiyatlandırma politikası. OpenAI, o1 modeline erişim için milyon giriş tokeni başına 15 dolar ve milyon çıkış tokeni başına 60 dolar ücret alırken, DeepSeek Reasoner, R1 modeline dayalı olarak, milyon giriş tokeni başına 0,55 dolar ve milyon çıkış tokeni başına 2,19 dolar gibi oldukça düşük bir fiyat sunuyor.
ABD YAPTIRIMLARINI AŞMANIN YOLLARI
Çinli yapay zeka şirketleri, gelişmiş çiplere yönelik ABD’nin ihracat kontrollerinin sıkılaşmasıyla kısıtlamalarla karşı karşıya. Ancak bu yaptırımlar, DeepSeek gibi girişimleri yenilik yapmaya teşvik etmiş görünüyor.
2021 yılı boyunca Liang Wenfeng, yapay zeka projelerinden biri için binlerce Nvidia GPU satın almaya başladı. Bu hamle, sektörde milyarder bir iş insanının yeni bir hobi edinmesi olarak görüldü. Ancak Wenfeng, oyunun kurallarını değiştirecek bir şey inşa etmek istediğini söyledi.
STOKLARDA 10 BİNİN ÜZERİNDE BİRİM
Çin medyasına göre, şirketin stoklarında 10 binin üzerinde birim bulunuyor. Ancak yapay zeka araştırma danışmanlığı şirketi SemiAnalysis’in kurucusu Dylan Patel, bu sayının 50 bine yakın olduğunu tahmin ediyor. Wenfeng’in bu stokun yapay zeka eğitimi için potansiyelini fark etmesi, DeepSeek’i oluşturma fikrini ateşledi. Şirket, bu stokları düşük güçlü çiplerle birleştirerek modellerini geliştirmeyi başardı.
Bir eski DeepSeek çalışanı, R1’i oluşturmak için şirketin eğitim sürecini yeniden tasarlaması gerektiğini söyledi. Bu tasarım, ABD’nin talebi üzerine Nvidia’nın Çin pazarına sunduğu çiplerin güçlerinin azaltılmasından kaynaklanan yükü azaltmak için gerekliydi.
Microsoft’un AI Frontiers araştırma laboratuvarında baş bilim insanı olan Dimitris Papailiopoulos, R1’in mühendislik basitliğinin kendisini en çok şaşırtan şey olduğunu söyledi. "DeepSeek, her mantıksal adımı detaylandırmaktansa doğru cevaplar sağlamaya odaklanıyor ve bu da işlem süresini önemli ölçüde kısaltırken yüksek bir verimlilik seviyesi sağlıyor," dedi.
